Getting Started#
Below you can find everything that is needed to start using AMEP for analyzing your simulation data. The installation guide explains how AMEP can be installed and the examples serve as an easy starting point.
Installation#
The AMEP library can be installed via pip, conda, or by manually
adding the amep directory to your Python path. To use all animation features,
you need to install FFmpeg (https://ffmpeg.org/) on your machine (see below).
Installation via pip#
AMEP can be simply installed from PyPI via
pip install amep
Installation via conda#
AMEP can be simply installed from conda-forge via
conda install conda-forge::amep
Manual installation#
Before installing AMEP manually, ensure that your Python environment fulfills
the required specifications as published together with each release.
If your Python environment is set up, download the latest version from
amepproject/amep and extract
the zipped file. Then, add the path to your Python path and import amep:
import sys
sys.path.append('/path/to/amep-<version>')
import amep
Alternatively, you can add the path permanently to your Python path by adding the line
export PYTHONPATH="${PYTHONPATH}:/path/to/amep-<version>"
to the .bash_profile file (Linux only). If you use the Anaconda distribution,
you can alternatively add the amep directory to Lib/site-packages in the
Anaconda installation path.
Python environment#
For system cleanliness and easy dependency management, we recommend to use virtual environments as a good practice using Python. You can create and activate one by following the official Python instructions. Here are the instructions for Linux or macOS (for Microsoft Windows you may adapt the path formatting to the Windows specific style).
python3 -m venv amepenv
source amepenv/bin/activate
Depending on you Python installation, you may need to use python3 or python.
The virtual environment amepenv will be created in the directory you have
your terminal running. Follow the official instructions linked above for more
details.
FFmpeg#
AMEP provides the possibility to animate plots and trajectories. To enable all animation features, FFmpeg must be installed on the device on which you run AMEP. FFmpeg is not automatically installed when you install AMEP. Please visit the FFmpeg download page to download FFmpeg and to get further information on how to install FFmpeg on your machine.
Examples#
The following examples are an excerpt of the Jupyter examples notebook on GitHub. They serve as starting point for everyone who uses AMEP for the first time. The notebook and the data the examples are based on, are available on amepproject/amep:
In the first example, we analyze simulation data from a LAMMPS simulation of active Brownian particles, in the second example of a continuum simulation of the Keller-Segel model for chemotaxis.
import amep
Example 1: Particle-based data (active Brownian particles)#
First, we load the simulation data:
# load simulation data (returns a ParticleTrajectory object)
traj = amep.load.traj(
'./data/lammps',
mode = 'lammps',
dumps = 'dump*.txt',
# savedir = './data', # directory where to save the .h5amep file can be changed
# trajfile = 'lammps.h5amep' # name of the saved trajectory file can be changed
)
MSD: mean-square displacement#
Now, let’s start with a simple observable, the mean-square displacement (MSD)
msd = amep.evaluate.MSD(traj, nav=None)
nav: number of averages
This will be important for values that are not time-dependent and should be averaged over multiple frames (= time steps). nav=None will take all frames of the trajectory.
And let’s plot it:
# create figure object
fig, axs = amep.plot.new()
# plot the MSD in a log-log plot
axs.plot(
msd.times, # get time values of the analyzed frames
msd.frames # get MSD at the analyzed frames
)
# axis labels for proper figure
axs.set_xlabel("Time")
axs.set_ylabel("MSD")
axs.loglog() # for typical display of MSD
# save figure as png
fig.savefig("./particles-msd-example.png")

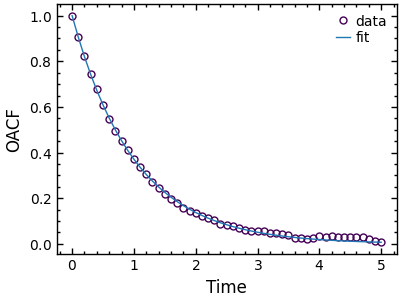
OACF: orientational autocorrelation function#
Next, let’s calculate the orientational autocorrelation function (OACF)
oacf = amep.evaluate.OACF(traj, nav=None)
fig, axs = amep.plot.new()
axs.plot(
oacf.times,
oacf.frames,
'o', # adjust plot style
ms=5,
fillstyle="none"
)
axs.set_xlabel("Time")
axs.set_ylabel("OACF")
fig.savefig("./particles-oacf-example.png")

And, additionally, let’s fit it:
import numpy as np
# fit the OACF results
def f(t, tau=1.0):
return np.exp(-t/tau)
fit = amep.functions.Fit(f)
fit.fit(oacf.times, oacf.frames)
print(f"Fit result: tau = {fit.params[0]:0.4f} +/- {fit.errors[0]:0.4f}")
Fit result: tau = 1.0073 +/- 0.0055
Now, let’s plot the data together with the fit:
fig, axs = amep.plot.new()
axs.plot(
oacf.times,
oacf.frames,
label="data",
marker='o',
ms=5,
fillstyle="none",
ls=""
)
# plot fit which can be generated via the `.generate()` function
axs.plot(
oacf.times,
fit.generate(oacf.times),
label="fit",
marker='',
color='tab:blue',
linestyle='-'
)
axs.set_xlabel("Time")
axs.set_ylabel("OACF")
axs.legend()
fig.savefig("./particles-oacf-fit-example.png")

Yes, our example simulation have $D_r=1$ in reduced units. The figure shows this good agreement.
RDF: radial distribution function#
Something a bit more interesting now, the radial distribution function. Still not the most difficult to calculate but one step at a time:
# here we skip the first 80 % of the trajectory
# and do the calculation in parallel with 4 jobs to save some time
rdf = amep.evaluate.RDF(
traj, nav = 10, skip = 0.8,
rmax = 10, # maximum distance
njobs = 4
)
fig, axs = amep.plot.new()
axs.plot(
rdf.r, # we want the radial distance `r` instead of the time here
rdf.avg, # and we access the averaged (`.avg`) result
)
axs.set_xlabel("Time")
axs.set_ylabel("RDF")
fig.savefig("./particles-rdf-example.png")

PCFangle - angular pair correlation function#
The radial distribution function already looks like the system is in a close packing configuration. Let’s check that with another observable, the angular pair correlation function $g(r,\theta)$.
pcfangle = amep.evaluate.PCFangle(
traj, nav = 5, skip = 0.9,
rmax = 5, # maximum distance
njobs = 4
)
fig, axs = amep.plot.new(subplot_kw=dict(projection="polar"))
mp = axs.pcolormesh(pcfangle.theta, pcfangle.r, pcfangle.avg, cmap="cividis_r")
cax = amep.plot.add_colorbar(fig, axs, mp, label=r"$g(\Delta r, \Delta \theta)$")
# making a simple radial axis
axs.set_rlabel_position(0)
axs.plot([0]*6,range(6), "|-k", ms=5)
axs.set_rticks(range(6))
axs.grid(False)
fig.savefig("./particles-pcfangle-example.png")

Saving and loading results#
Let us now save the results in separate HDF5 files:
msd.save('./msd.h5')
oacf.save('./oacf.h5')
rdf.save('./rdf.h5')
Alternatively, you can save all results in one HDF5 file using AMEP’s evaluation database feature:
msd.save('./results-db.h5', database = True)
oacf.save('./results-db.h5', database = True)
rdf.save('./results-db.h5', database = True)
The results can later be loaded using the amep.load.evaluation function for further processing.
msdloaded = amep.load.evaluation('./msd.h5')
# load all analysis data from the database file
results = amep.load.evaluation(
'./results-db.h5',
database = True
)
# check which data is available within the loaded file
results.keys()
['msd', 'oacf', 'rdf']
Animation feature#
Let’s create a .gif so you know how to share your research on social media ;)
traj.animate('./particles-animation.gif', xlabel=r'$x$', ylabel=r'$y$')
Example 2: Continuum data (Keller-Segel model)#
Let’s have a look at continuum data. In the example data, we have a short simulation of the Keller-Segel model in a parameter regime where the concentrations collapse.
Again, we first load the simulation data:
# load simulation data (returns a FieldTrajectory object)
ctraj = amep.load.traj(
'./data/continuum',
mode = 'field',
dumps = 'field_*.txt',
timestep = 0.01,
# savedir = './data', # directory where to save the .h5amep file can be changed
# trajfile = 'continuum.h5amep', # name of the saved trajectory file can be changed
# reload=True # reload the simulation data even if a .h5amep trajectory file exists
)
Next, let us check which data is included within a frame of the trajectory file:
ctraj[0].keys
['c', 'p']
Here, 'c' denotes the chemical field and 'p' the bacterial density. In the following, we will analyze the former.
SF2d - 2D structure factor#
Let’s have a look at the 2d structure factor of the chemical field.
fsf2d = amep.evaluate.SF2d(
ctraj, skip = 0.1,
ftype = "c"
)
fig, axs = amep.plot.new((5,3))
mp = amep.plot.field(
axs, fsf2d.avg, fsf2d.qx, fsf2d.qy,
# cscale="log", vmin=1e4 # if you want to plot in log scale
)
# mp.cmap.set_bad('k') # for log scale because S(q=0) is set to 0
# add colorbar and make plot nice
cax = amep.plot.add_colorbar(
fig, axs, mp, label=r"$S(q_x, q_y)$"
)
axs.set_aspect("equal")
axs.set_xlabel(r'$q_x$')
axs.set_ylabel(r'$q_y$')
fig.savefig("continuum-sf2d-example.png")

LDD - local density distribution#
Next, we calculate and plot the local density distribution. Note that the following line is calculating the local density distribution for each frame within the trajectory. It is then averaging over all the results, i.e., it is performing a time average (ldd.avg). If the simulation is not in a steady state, one has be careful. Here, clearly not all frames are in the steady state. However, the results for each individual frame are still accessible (ldd.frames). We will use them here to plot the local density distribution for three different frames.
ldd = amep.evaluate.LDdist(
ctraj, nav = ctraj.nframes, ftype = 'c'
)
# ctraj.nframes returns the number of frames in the trajectory. None can also be used for `nav`.
fig, axs = amep.plot.new()
# plot the results for three different frames
axs.plot(ldd.ld, ldd.frames[0,0], label = ldd.times[0] )
axs.plot(ldd.ld, ldd.frames[5,0], label = ldd.times[5] )
axs.plot(ldd.ld, ldd.frames[-1,0], label = ldd.times[-1] )
# add legends and labels
axs.legend(title = 'Time')
axs.set_xlabel(r'$\rho$')
axs.set_ylabel(r'$P(\rho)$') # we denote the histogram result as P(\rho) here for simplicity of the plot
fig.savefig('./continuum-ldd-example.png')

And again, we can save the analysis results in an HDF5 file for subsequent loading without having to recompute the result. This is more interesting for computations that take a longer time which we have not chosen for this examples notebook for obvious reasons.
fsf2d.save("./fsf2d.h5")
ldd.save('./ldd.h5')
Animation#
We can create an animation of the trajectory just as we did with the particle-based data.
ctraj.animate('./field-animation.gif', ftype='c', xlabel=r'$x$', ylabel=r'$y$', cbar_label=r'$c(x,y)$')